1前言
1.1研究目的和意義
高血壓是一種常見的心腦血管疾病,會引起心血管、大腦、腎臟的病變
[1]。降壓肽是一種ACE抑制劑,通常用于高血壓患者的治療
[2]。目前,對高血壓患者的治療通常使用化學合成的藥物,然而,這些合成藥物有一些副作用,包括咳嗽和皮疹
[3]。食源性降壓肽來源于天然植物,無副作用,易被人體吸收
[4]。不同的植物來源,降壓功效作用也是不同的。
核桃 (核桃) 蛋白質的具有廣闊應用前景的新產品和強化身體的好來源
[5]。核桃粕是核桃經過提取油后的副產物,含有29.65%蛋白質,提油后的核桃粕多數被用作飼料,資源造成了一定的浪費,酶解核桃粕蛋白制備降壓肽可以促進核桃粕的深加工,實現資源的綜合利用。本文采用兩種不同的蛋白酶共同作用水解蛋白,采用雙酶復合水解可以增加蛋白酶的特異性催化位點
[6],可以提高可溶性蛋白含量及功能性多肽的產量和轉化率
[7],并且增大了蛋白的水解度,也一定程度上增大了蛋白原料對肽的轉化率,進而可以改善蛋白質水解液中功能性多肽的特性。本實驗將兩種蛋白酶分兩步進行酶解,全面研究雙酶分步酶解工藝制備核桃粕降壓活性肽的工藝及參數,然后用響應面法對其工藝進行優化。
1.2降壓肽的研究進展
日本是對食源性降血壓肽研究**多的G家,且已經有此類降血壓肽的商品上市,以其天然無毒的特性受到了廣大消費者的信賴,而我G在此項的研究才剛剛起步
[8],目前臨床上的高血壓的藥物治療盡管有效可是也存在弊端,如降壓過度、泌尿系統發生病變、持續性咳嗽、味覺失真和血管神經性水腫等,而通過蛋白酶的水解獲得的具有降血壓活性的多肽不僅可以對高血壓患者起到降血壓的作用,對身體體質沒什么影響,適合患者長期服用。隨著G民生活水平的提高,人們的自我保健意識和安全意識也在逐漸加強,這種降血壓肽會逐漸被人們接受,成為預防,緩解和治療高血壓的一個有效手段。
2 材料與方法
2.1 材料和設備
核桃粕,康福壽核桃油加工有限公司;2709堿性蛋白酶(Alcalase)購于北京博奧拓達科技有限公司;風味蛋白酶購于sigma公司;FAPGG,呋喃丙烯酰三肽,購于sigma公司;ACE,血管緊張素轉換酶,購于sigma公司;正己烷、鹽酸、濃硫酸、氫氧化鈉等均為分析純。試驗用水均為去離子水。
快速恒溫數顯水浴鍋 金壇市醫療儀器廠;PHS-3 C雷磁
ph計 上海精科;BS 2000 S電子天平 北京賽多利斯科學儀器有限公司;FDU-1200冷凍干燥機 北京四環科學儀器廠;ELx 808酶標儀 Thermo公司;SH 21-1磁力攪拌器 上海梅穎浦儀表制造有限公司;DNP-9272電熱恒溫培養箱 上海精宏實驗設備有限公司。
2.2 工藝流程
低溫脫脂核桃粕→過60目篩→脫脂→提取核桃蛋白→堿性蛋白酶和風味蛋白酶聯合酶解條件的優化→核桃ACE抑制肽
2.3 核桃脫脂粉的制備
核桃粕經粉碎后過60目篩,用正己烷以1:5(w/v)的料液比在磁力攪拌器上提取1h后進行抽濾,取濾渣重復用正己烷提取**濾液無色透明時收集濾渣,然后用恒溫干燥箱烘干溶劑,置于冰箱4℃冷藏備用。
2.4 核桃蛋白的提取
采用堿溶酸沉法提取核桃蛋白。參照毛曉英
[9]的方法,略改。以購買的核桃脫脂粕為原料,將其烘干后粉碎,然后通過95%醇洗(1:10,(w/v)),過濾,把濾餅置恒溫干燥箱烘干溶劑。然后用去離子水配制蛋白質溶液(1:26,(w/v)),調節蛋白液的pH值到11.0,置磁力攪拌器上53℃攪拌1.5h后7000r/min 25℃離心15min,取上清液,調節pH**4.5,攪拌1h,7000r/min 25℃離心15min,水洗沉淀,調節pH**中性后凍干,置于冰箱4℃冷藏備用。
2.5 水解蛋白酶的篩選
表1 四種商業酶**適作用條件和酶活力
Table 1 The optimum hydrolysis conditions and the enzymatic activity of four commercial enzymes
|
酶種類 |
**適pH |
**適溫度(℃) |
酶活力(U/g) |
|
堿性蛋白酶 |
8.5 |
55 |
7.1×104 |
|
中性蛋白酶 |
7.0 |
40 |
6.3×105 |
|
風味蛋白酶 |
6.5 |
50 |
2.0×104#p#分頁標題#e# |
|
木瓜蛋白酶 |
6.8 |
55 |
8.2×105 |
將上述的四種蛋白酶在各自的**適酶解條件下對核桃蛋白進行酶解,以ACE抑制率和水解度為指標,選出制備核桃降壓肽的**適用酶,結果見圖2:
圖1 四種酶解液的ACE抑制率及其水解度的比較
Fig.1 Comparison the four kind of enzyme solution on ACE inhibition rate and Hydrolysis degree
由圖1可以得到,不同蛋白酶對核桃粕蛋白的水解能力存在明顯差異,其中水解液的ACE抑制率和水解度相對較高的是堿性蛋白酶和風味蛋白酶。ACE抑制肽構效關系研究表明,強ACE抑制活性肽的C-端氨基酸傾向于疏水性氨基酸。研究報道表明,核桃脫脂粉和核桃蛋白分離組分的氨基酸組成中,以谷氨酸、精氨酸、天冬氨酸含量較高,且主要以酸性氨基酸和疏水性氨基酸為主
[9]。研究結果表明,對核桃蛋白的水解能力堿性蛋白酶明顯高于風味蛋白酶、風味蛋白酶高于中性蛋白酶和木瓜白酶,說明核桃蛋白的結構中存在較多的堿性蛋白酶和風味蛋白酶的作用位點,從而更有利于ACE抑制肽的釋放。這與楊越
[10]以葵花籽為原料酶法制備ACE抑制肽報道的結果比較相似。綜合考慮選擇堿性蛋白酶和風味蛋白酶為**適酶。
2.6 實驗方法
表2.堿性蛋白酶和風味蛋白酶的**佳酶解工藝參數比較
Table2.The optimum technology of Alcalase and Flavourzyme
|
|
堿性蛋白酶 |
風味蛋白酶 |
|
酶解pH |
8.5 |
6.5 |
|
酶解溫度(℃) |
55 |
50 |
|
底物濃度(g/mL) |
30 |
15 |
|
酶解時間(h) |
2 |
3 |
|
酶添加量(U/g) |
7000 |
6000 |
分別將堿性蛋白酶和風味蛋白酶在各自**佳工藝條件下進行酶解核桃蛋白,同時進行堿性蛋白酶和風味蛋白酶的分步酶解試驗,具體操作如下:
稱取一定量的核桃蛋白,加去離子水配制成一定濃度的水解底物于水浴鍋中90℃ 10min處理后,在堿性蛋白酶的**佳反應條件下(即溫度為55℃,pH8.5)加入堿性蛋白酶,隨著反應的進行,酶解液的pH逐漸下降,滴加0.1mol/L的NaOH溶液以維持pH不變,分別間隔一定時間記錄消耗的NaOH量,堿性蛋白酶酶解結束后無需滅酶
[11]。將水解溫度和pH調節**風味蛋白酶的**佳條件(即溫度為50℃,pH6.5),用同樣的方法保持系統的pH不變,同時間隔一定時間記錄消耗的NaOH量。酶解結束后酶解液立即于90℃沸水中滅酶10min,8000r/min離心15min取上清液進行水解度和ACE抑制率測定。
2.7 核桃降壓肽制備的單因素研究
以核桃降壓肽的ACE抑制率和水解度為指標分別考察雙酶復配配比、底物質量濃度(g/L)、酶添加量(U/g)、三個因素對核桃降壓肽制備的影響,進行單因素實驗。
2.7.1
底物濃度對酶解液ACE抑制率和水解度影響
2.8 核桃降壓肽制備的響應面實驗設計
在單因素研究的基礎上,以雙酶復配配比、底物質量濃度(g/L)和酶添加量(U/g)三個因素為自變量,以ACE抑制率為響應值,設計響應面分析實驗。因素水平及編碼表見表3。
表3因素水平及編碼表
Table1.The table of factors and level
|
編碼水平 |
A底物濃度 |
B雙酶復配配比 |
C加酶量 |
|
|
g/L |
U/U |
U/g |
|
-1 |
20 |
2:1 |
5000 |
|
0 |
30 |
1:1 |
6000 |
|
1 |
40 |
1:2 |
7000 |
2.9 檢測指標
2.9.1 水解度的測定
采用 pH-Stat法
[12#p#分頁標題#e#]。
2.9.2 ACE抑制率的測定
在96孔酶標板上按表3設計添加反應物開始反應,在340nm波長條件下,用酶標儀測吸光值
A1。使其在37℃的恒溫培養條件下反應30min,測量吸光度A
2,作3組平行試驗
[13]。
ACE抑制率的計算公式如下:

式中:Δ
Ab為加入緩沖基質時吸光度在 30min內的變化;Δ
Aa為加入抑制劑時吸光度在30min內的變化。
表4 ACE抑制活性的測定
Table 4 The determination of ACE inhibition activity
|
添加物 |
樣品孔/uL |
空白孔/uL |
|
ACE(0.1U/mL) |
10 |
10 |
|
FAPGG(1mmol/L) |
50 |
50 |
|
ACE抑制劑 |
40 |
0 |
|
超純水 |
0 |
40 |
注:1.FAPGG(1.0 mmol/L):取3. 994 mg FAPGG加基質緩沖液2,定容**10 mL,溶解混合,置4℃避光放置;2.基質緩沖液1: pH8.3、100mmol/L的硼酸緩沖液;3.基質緩沖液2:pH8.3、100mmol/L的硼酸緩沖液(含300mmol/L NaCl)。
3 堿性蛋白酶-風味蛋白酶分步酶解
3.1 單因素試驗
3.1.1底物濃度對酶解液ACE抑制率和水解度影響
圖3-1.底物濃度對酶解液ACE抑制率和水解度影響
Fig3-1.The influence of enzyme solution ACE inhibition rate and Hydrolysis degree by substrate concentration
由圖3-1可知,隨著底物質量濃度的增大ACE抑制率和水解度先增大后減小,由于酶解初期隨著底物質量濃度增大多肽含量增加,故ACE抑制率和水解度增大,在底物質量濃度為30g/L時達到**大值,繼續增大底物質量濃度,ACE抑制率和水解度都相對有所減小,原因可能是隨著底物質量濃度的增大,酶解液的有效水分含量過低,減少了在反應過程中底物和蛋白酶間碰撞的機會,對水解產生抑制的作用
[14]。選擇**適底物質量濃度為30g/L。
3.1.2
雙酶復配配比對酶解液ACE抑制率和水解度影響

圖3-2.雙酶復配配比對酶解液ACE抑制率和水解度影響
Fig3-2. The influence of enzyme solution ACE inhibition rate and Hydrolysis degree by the double enzyme distribution ratio
試驗結果如圖3-2所示,酶添加總量保持不變,堿性蛋白酶和風味蛋白酶按一定的比例添加,由試驗結果圖看出,隨著堿性蛋白酶與風味蛋白酶復配比例的減小,水解度呈先快速增大后緩慢減小的趨勢,從復配比例3:1到2:1的過程中增幅較大,雙酶復配配比為2:1時水解效果明顯強于3:1;二者添加量比例繼續減小,風味蛋白酶的相對添加量不斷增大,水解度和ACE抑制率呈現下降趨勢。因為水解度盡可能大的情況下,酶解液中的肽含量增加,降壓活性肽含量也相應增加,故ACE抑制率增大,反之亦然。選擇**適宜的堿性蛋白酶與風味蛋白酶添加量比例為2:1。
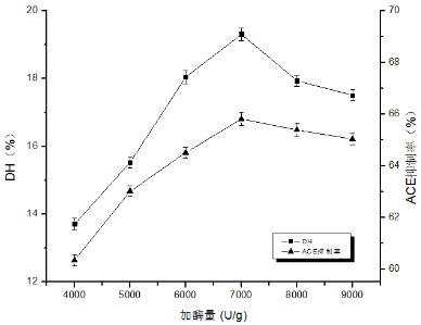
3.1.3 加酶量對酶解液ACE抑制率和水解度影響

圖3-3 加酶量對酶解液ACE抑制率和水解度影響
Fig.3-3 The influence of enzyme solution ACE inhibition rate and Hydrolysis degree by enzyme dosage
由圖3-3可知,隨著加酶量的增大,酶解液的ACE抑制率和水解度增大,在加酶量為7000U/g時ACE抑制率達到**大值,原因可能是隨著酶濃度的增加,有利于酶與底物的結合,對酶解有促進的作用。隨著加酶量的繼續增大,酶解液的ACE抑制率和水解度略有降低,原因可能是一部分具有ACE抑制活性的多肽被進一步水解成不具有降壓活性的小肽。故選擇7000U/g為**適加酶量。
3.2 Box-Benhnken優化試驗
3.2.1 響應面分析因素與水平的選取
依據單因素分析結果選定底物濃度(g/L)、雙酶復配配比、加酶量(U/g)三因素,分別選取3個水平,以酶解上清液的ACE抑制率為測定指標,設計響應面試驗并進行操作,因素水平表及編碼如表所示。
表3-1.因素水平及編碼表
Table3-1.The table of factors and level
|
編碼水平 |
A底物濃度 |
B雙酶復配配比 |
C加酶量 |
|
|
g/L |
U/U |
U/g |
|
-1 |
20 |
2:1 |
5000 |
|
0 |
30 |
1:1 |
6000 |
|
1 |
40 |
1:2 |
7000 |
#p#分頁標題#e#
3.2.2 響應面試驗設計及結果
由Design-Expert 8.0統計分析軟件的試驗設計功能可知,三因素三水平的中心組合設計包括17個試驗方案,具體的試驗方案及試驗結果如表3-2所示。
表3-2.響應面試驗設計及結果
Table3-2.The design and results of the response surface experimental
|
試驗號 |
A底物質量濃度 |
B雙酶復配配比 |
C加酶量 |
Y ACE抑制率% |
|
1 |
-1 |
0 |
1 |
66.73 |
|
2 |
0 |
-1 |
1 |
62.73 |
|
3 |
0 |
1 |
1 |
65.51 |
|
4 |
1 |
0 |
1 |
65.71 |
|
5 |
1 |
1 |
0 |
62.91 |
|
6 |
0 |
0 |
0 |
67.03 |
|
7 |
1 |
0 |
-1 |
66.12 |
|
8 |
-1 |
-1 |
0 |
62.89 |
|
9 |
0 |
0 |
0 |
67.85 |
|
10 |
1 |
-1 |
0 |
63.22 |
|
11 |
-1 |
0 |
-1 |
66.71 |
|
12 |
0 |
-1 |
-1 |
65.41 |
|
13 |
0 |
0 |
0 |
67.43 |
|
14 |
0 |
0 |
0 |
67.72 |
|
15 |
-1 |
1 |
0 |
64.91 |
|
16 |
0 |
1 |
-1 |
64.59 |
|
17 |
0 |
0 |
0 |
67.2 |
利用Design-Expert 8.0統計軟件,通過回歸分析對表3試驗數據進行回歸擬合,得到底物濃度(A)、雙酶復配配比(B)、加酶量(U)三個因素對ACE抑制率(Y)的二次回歸方程為:
Y=43.66000+0.87080A+26.13850B-7.197915-003C-0.11650AB-3.380041-00**C+5.659603-003BC-0.011030 A
2-11.44200 B
2 -8.017771-008 C
2
對回歸方程進行方差分析,結果見表3-3
表3-3 回歸模型及方差分析結果
Table 3-3 Decolorization regression model and analysis of variance
|
方差來源 |
平方和 |
自由度 |
均方 |
F值 |
Pr>F |
顯著性 |
|
模型 |
49.95 |
9 |
5.51 |
53.95 |
<0.0001 |
** |
|
A |
1.34 |
1 |
1.34 |
13.17 |
0.0084 |
** |
|
B |
1.68 |
1 |
1.68 |
16.48 |
0.0048 |
** |
|
C |
0.58 |
1 |
0.58 |
5.66 |
0.049 |
* |
|
AB |
1.36 |
1 |
1.36 |
13.29 |
0.0082 |
** |
|
AC |
0.046 |
1 |
0.046 |
0.45 |
0.5227 |
|
|
BC |
3.24 |
1 |
3.24 |
31.72 |
0.0008 |
** |
|
A2#p#分頁標題#e# |
5.12 |
1 |
5.12 |
50.15 |
0.0002 |
** |
|
B2 |
34.45 |
1 |
34.45 |
337.3 |
<0.0001 |
** |
|
C2 |
2.74E-03 |
1 |
2.74E-03 |
0.027 |
0.8746 |
|
|
殘差 |
0.71 |
7 |
0.1 |
|
|
失擬誤差 |
0.24 |
3 |
0.081 |
0.69 |
0.5986 |
不顯著 |
|
純誤差 |
0.47 |
4 |
0.12 |
|
注:** P<0. 01,差異極顯著;*P<0. 05,差異顯著。
由表3-3的方差分析可知,模型的F值為53.95,P<0.0001,說明該模型是極顯著的,一次項A,B,C均影響極顯著,說明雙酶復配配比、底物質量濃度和加酶量對ACE抑制率和水解度具有顯著性影響,交互項AD,BD,CD的偏回歸系數達到極顯著水平。失擬項在0.05水平上不顯著(P=0.6059),說明殘差均由隨機誤差引起。響應面曲線越陡則影響越顯著,從下圖可以看出堿性蛋白酶與風味蛋白酶添加量比例與底物濃度交互作用曲線相對較陡,說明二者交互作用相對明顯,對水解效果的影響相對較強,酶解溫度曲線變化則比較平緩,對水解效果影響相對較弱。
3.2.3 **佳條件的響應面優化
圖3-4雙酶復配配比底物濃度交互作用響應曲面
Fig3-4.The response surface of the influence of ACE inhibition rate by the interation of substrate concentration and the adding quantity proportion
圖3-5. 雙酶復配配比和加酶量交互作用響應曲面
Fig.3-5 The response surface of the influence of ACE inhibition rate by the adding quantity proportion and enzyme dosage
利用Design-Expert 8.0軟件進行工藝參數的優化組合,得到堿性蛋白酶-風味蛋白酶分步酶解核桃蛋白制備ACE抑制肽的**佳工藝為:底物質量濃度28.80g/L、加酶量6000U/g、雙酶復配配比3:2,ACE抑制率可達到67.7217%。根據實驗室條件調整酶解工藝為底物質量濃度29g/L、加酶量6000U/g、雙酶復配配比3:2,得到的實際抑制率67.05%。
3 結論
本研究分別用堿性蛋白酶、中性蛋白酶、木瓜蛋白酶和風味蛋白酶酶解核桃蛋白制備核桃降壓肽,以ACE抑制率和水解度為指標,對比結果篩選堿性蛋白酶和風味蛋白酶為**適酶。
在單因素實驗的基礎上進行響應面試驗,以ACE抑制率為指標,確定了雙酶聯合水解工藝的**佳參數底物質量濃度28.80g/L、加酶量6000U/g、雙酶復配配比3:2,ACE抑制率可達到67.7217%。根據實驗室條件調整酶解工藝為底物質量濃度29g/L、加酶量6000U/g、雙酶復配配比3:2,得到的實際抑制率67.05%。本研究得到了較高的ACE抑制率結果為核桃粕的深加工提供了一定的指導方向,從而為進一步拓寬核桃產業提供思路和理論指導奠定了基礎。
4 展望
雖然在動物實驗和臨床中對降血壓肽的效果進行了大量的研究,然而尚需對生物體內活性形式的識別和降壓作用的不同機制進一步研究。新技術的應用,如 DNA 微陣列技術在基因表達方面研究降血壓肽的效果,可以為降血壓肽的作用方式提供新的見解
[15]。但在任何情況下,支持健康聲明的證據必須是基于人類的臨床試驗。
高血壓被稱為人類健康的 “無形殺手”它不僅是一個獨立的疾病,同時又是心腦血管疾病致病的重要危險因素,導致心、腦、腎、血管、眼底的結構和功能的改變和損害,引起相關疾病的發生
[16,17]。我G人群高血壓患病率呈增長態勢,每 5個成人中就有1人患高血壓病,估計目前全G高血壓患者**少2 億人,每年新發生高血壓1000×10
4人
[18],因此治療高血壓成為醫學界面臨的一項艱巨任務。化學合成的降壓藥物可以一定程度的有效降低血壓,但同時也會有副作用,從食物中制備提取具有降血壓活性的多肽被證實對高血壓有降低作用、易于吸收且沒有副作用,所以以核桃粕為原料制備具有降血壓活性的多肽具有很廣闊的前景和重大意義。#p#分頁標題#e#